NISHIO Hirokazu[Translate]
多様性の解釈の違い
>mathlava 普段何気なく使っている「多様性」という言葉があるけれど、これを定量化するという問題は非常に難しく、数学的にも奥深い。例えば図のAとBのどちらが多様性があるかの解釈も意見が分かれる。
>

>mathlava 意見が分かれる理由は、カテゴリの数(リッチネス)と構成比の均等さ(イーブンネス)のバランスで多様性の解釈が変わるからなんですが、生物学で最も使われてきたシャノン多様性指標はこれを表現できずに困っていました
>

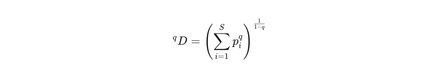
>mathlava Renyiエントロピーは、パラメータ q を持つ一般化されたエントロピーで、この q の値を変更することで、希少なカテゴリを重視するか、それとも優占的なカテゴリを重視するかという、多様性に対する感度を調整することができます。
>

>mathlava 他にも色々な多様性の定義を考えることができ、さまざまなものが提案されてきました。そこから議論は「多様性に持っていて欲しい論理的な性質を満たすような尺度はどんな条件か?」へと移っていきます。公理的アプローチの誕生です。

>mathlava 多様体の尺度の公理的アプローチは、圏論の分野で議論され、結局良い性質をもつ多様性の尺度はRenyiエントロピーのみであるということが示されています。

>mathlava ということで面白い本の紹介でした

>popopipopepepe これを貼れと言われた気
> (答えでは無い)
> >r_no_piero 日本の漫画が目指す “多様性”と アメリカのコミックが目指す “多様性” の違い
>

>ongr_open 目的に沿う構成を考えるうえで、目的に関係する要素のみを考慮した結果生まれる構成において、目的に関係しない要素のバリエーションに富む様子を「多様性がある」と表現するのだという『結果的多様性』を提唱してる私としては、Bは歪められてる可能性を感じる

"Engineer's way of creating knowledge" the English version of my book is now available on [Engineer's way of creating knowledge]

(C)NISHIO Hirokazu / Converted from [Scrapbox] at [Edit]